南京天光所在利用深度学习框架进行望远镜准直检测及PSF估计方面获得新进展
大视场像质优秀的光学望远镜是天文巡天观测的核心设备。但是,光学系统中的光学元件失调会造成各视场上的像差有规律的失对称性的退化,降低观测图像的质量,影响望远镜观测效率;利用机器学习技术实现基于星像测量的望远镜光学系统的准直关键技术逐渐发展起来。点扩散函数(PSF)不仅直接反映大视场高像质光学望远镜成像质量,更与天体形状测量、光度及位置测量精度直接相关。近年来,大视场高像质光学望远镜PSF建模和应用成为天文光学仪器及天文数据处理领域的研究热点。
为提高大视场高像质光学望远镜的PSF建模精度,提升利用PSF模型对望远镜失调的感知能力。中国科学院院国家天文台南京天文光学技术研究所李正阳博士团队与太原理工大学物理与光电工程学院贾鹏博士团队合作,采用深度学习算法开展了大视场高像质光学望远镜任意失调状态、任意视场PSF估计方法的研究,并利用PSF估计结果进行望远镜失调误差回归分析做了关键技术研究。相关工作分别于2020年(https://doi.org/10.1093/mnras/staa319)及2021年(https://doi.org/10.1093/mnras/stab1461)发表于Monthly Notices of the Royal Astronomical Society杂志上。
该团队提出了基于望远镜全视场PSF的失对称性变化规律,监视与解算光学元件的准直状态。团队通过采样测量大视场观测图像内的星象作为参考,结合去噪自编码器(DAE-NET)建立了低信噪比星象和PSF的映射关系,并进一步利用卷积神经网络,确立了不同失调状态下的星象和光学元件失调量的对应关系。通过模拟数据测试发现,DAE-NET可以大幅提升对大视场望远镜不同位置PSF的建模精度,同时还可以提高直接利用星象估计光学系统元件失调量的精度。该工作获得了审稿 人 的 的 高 度 评 价 ,“The topic is interesting and has the potential to revolutionize the reduction and interpretation of on-going and future small aperture wide-field telescope imaging data”。
第一行为光学系统输出的原始PSF,第二行为低信噪比条件下的实拍星象,第三行为从低信噪比图像中估计出的PSF
从上图中可见,DAE-NET能够基本重构出原始PSF。在实用中,利用PSF进行望远镜光学元件失调估计的算法必须适用星象任意分布的情况。因此,团队进一步建立了望远镜任意失调状态与视场内随机分布PSF的映射关系(Tel-Net)。该算法依托于编码解码网络并将Fixup方法引入了PSF估计,避免了批正则化(Batch- Normalization)对PSF数值的影响,从而保证估计的PSF数值的准确性。为验证算法的实用性和可靠性,团队在南京天文光学技术研究所搭建了实验平台,通过长期实验获取了大量数据对算法进行了验证。结果表明,团队研究的PSF重构方法精度比内插法(IDE)获取的PSF精度提升近一个量级(以均方根误差MSE计算);当数据稀少时,Tel-Net仍优于传统IDE方法。该工作得到了审稿人高度评价,“Overall this work does a great job of solving a problem in modern astronomy by leveraging deep learning”。


左图为内插法IDE获得的望远镜任意失调状态全视场PSF估计结果的MSE均值分布,中图为Tel-Net获得的望远镜任意失调状态全视场PSF估计结果MSE均值分布,右图为两种方法获得的PSF的MSE直方图分布


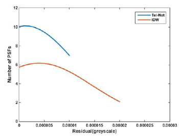
左图为采集PSF的实验装置,右图为实测数据PSF估计残差分布
该部分工作充分体现了从PSF出发进行望远镜状态估计这一算法的应用价值,为进一步以PSF为先验条件进行智能天文仪器设计和智能天文数据处理算法研发提供了基础。基于这种方法,项目组团队将进一步通过实验和算法设计,以期应用于司天原理样机、1.6米多通道测光望远镜以及南极巡天望远镜等在研设备的准直状态监测和主动准直调整中。
该工作得到了国家自然科学基金11503018,天文联合基金U1631133、U1931207,云南大学1.6米多通道测光望远镜项目,中科院青年创新促进会2017083及山西省青年基金面上项目201901D211081等的支持。

