国家天文台科研人员利用LAMOST和SDSS数据测量银河系旋转速度和质量
近日,国家天文台天体丰度与星系演化研究团组博士后依明阿吉与赵刚研究员合作,首次利用我国LAMOST释放的第四次巡天数据与美国SDSS释放的第八次巡天数据中天琴座RR变星,测量出银河系旋转速度与银河系质量,该项研究结果已在国际核心期刊《天体物理学报》(The Astrophysical Journal)上发表。
近年来,随着大规模巡天项目(测光和光谱)的开展,进而可以测量银河系的质量分布,更加细致地区分盘和晕,描绘银晕的质量分布并从观测上限制以及结合化学-动力学演化模型研究子结构的起源。为实现这一科学目标,选取一个距离精准、拥有视向速度和金属丰度等信息的恒星样本至关重要。RR变星具有非常好的周光关系,可以作为标准烛光使用,用它确定距离的精度比蓝水平分支星和K巨星要高。
这项研究首次得到了分布在银晕中的具有视向速度和金属丰度等信息的860颗天琴座ab型RR变星。之前的一些工作曾采用蓝水平分支星,红团簇星和K巨星等样本研究过相同的问题。此次他们利用具有距离精度更高的不同样本和不同方法研究同一问题,并与之前的工作结果进行比较,对进一步理解这个问题具有非常重要的意义。
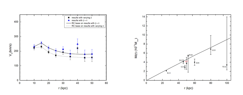
这项研究的主要结论有:通过比较发现LAMOST给出的RR变星的大气参数与美国SDSS给出的大气参数有可比性。研究表明速度异向参数和太阳基本参数很重要,对最后的结果有明显影响。在距离银河系中心16万光年范围内,他们得到的旋转速度和银河系质量与之前的理论模型结果符合的很好,与类似的观测工作得到的结果也有较好的一致性(见下图)。
左边图是旋转速度,右边的图是银河系质量分布(红色A17是本工作的结果)。
(信息来源:中科院国家天文台)

